新168幸运飞飞艇

欢迎光临新168幸运飞飞艇官方网站!一直致力于锅炉、空气源热泵、中央空调、地暖、墙暖、水处理等设备及工程的设计,制造,销售,安装与售后!
专业从事暖通领域设计、安装一体化的暖通公司
炽阳,将每一份能源用到极致,还地球一片蓝天
新168幸运飞飞艇
销售电话:13527581299(江总)
商号QQ:2593908085(微信同号)
售后联系电话:023-68146251/68685568
网址:www.ketaixc.com
联系地址:重庆市九龙坡区科城路127号恒基雍翠名门C1栋7楼
公司新闻
您当前所在的位置是:网站首页 >> 新168幸运飞飞艇 >> 公司新闻
重庆商用热水机之水箱选型
发布时间:2020/1/13   来源:新168幸运飞飞艇  阅读:4834

  水箱,在热水机工程中起到储存热水的作用。如果水箱的选择过小,可能会导致用户反映热水量不足;如果水箱选择过大了,就可能会导致热水水温达不到用户使用的要求。所以在热水机工程中,水箱的选型也是非常有讲究。

 今天,一起学习商用热水机水箱的选型方法:

水箱选型

1)家庭用户式热水水箱选型

户式热水系统的储热水箱容积一般80~500

可按公式:V=(40~80)L×n人估算。

2)集中式中央热水系统热水水箱选型

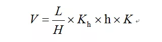
应根据热水用量,热水用水小时变化系数及热水机的供热能力、加热时间段等多因素,由设计单位经计算后确定。或者按下面公式估算:

V:保温水箱容积(立方米)
L:热水容量(立方米)
H:不同建筑用热水时长(小时)

Kh:热水用水小时变化系数
h:保证用水高峰小时数,一般取2 ~ 5 小时。
K:安全系数,取1.1 ~ 1.3 左右。


对于天气寒冷的北方地区,原则上水箱容积不能小于日设计用水量。水箱有效容积:从高水位开关距离用户取水口处容积。

新168幸运飞飞艇位于山城重庆,自成立以来,一直致力于锅炉、空气源热泵、中央空调、地暖、墙暖、水处理等设备及工程的设计,制造,销售,安装与售后。

炽阳暖通主要为大型酒店、宾馆、工厂、学校、医院、洗浴、餐饮、部队、健身会所、美容美发等全套中央热水供应系统。

 
上一篇: 重庆地暖的十大优点
下一篇: 重庆酒店、学校与工厂的商用热水器怎么选择?
新168幸运飞飞艇
销售电话:13527581299(江总)    商号QQ:2593908085(微信同号)
售后联系电话:023-68146251/68685568
联系地址:重庆市九龙坡区科城路127号恒基雍翠名门C1栋7楼
Copyright  2019  新168幸运飞飞艇  版权所有    网址:www.ketaixc.com      网站备案/许可证号:渝ICP备92756273号-1      网站制作:亿数在线
新168幸运飞飞艇